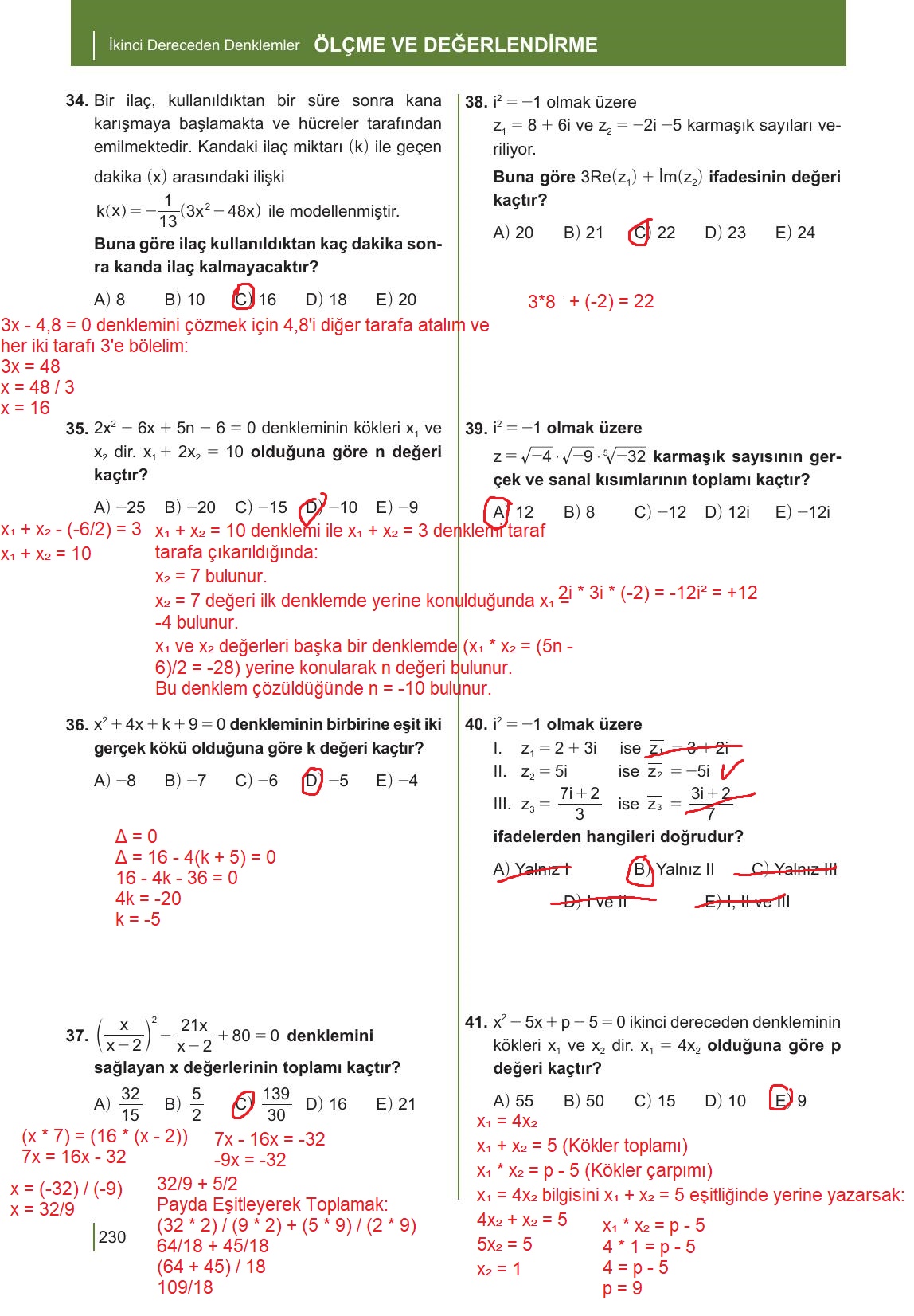
10. Sınıf Meb Yayınları Matematik Ders Kitabı Sayfa 230 Cevapları sitemizde.
Ders çalışırken karşılaştığınız zorlukların üstesinden gelmek için sunduğumuz kapsamlı kaynaklar, öğrencilere ihtiyaç duyduğu her türlü bilgiyi bir arada bulma fırsatı vermektedir. Bu platformda, öğrenim sürecinizi destekleyecek birçok bilgiye kolayca erişebilirsiniz.
10. Sınıf Meb Yayınları Matematik Ders Kitabı Sayfa 230 cevapları, ödevlerinize yardımcı olmak için aşağıda verilmiştir. 10. sınıf Matematik Ders Kitabı sayfa 230 cevapları Meb Yayınları hemen görün.
10. Sınıf Meb Yayınları Matematik Ders Kitabı Sayfa 230 Cevapları
